• Предмет: Алгебра
  • Автор: данил6а
  • Вопрос задан 8 лет назад

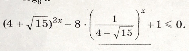
Помогите решить.
_______________

Приложения:

Ответа на этот вопрос пока нет. Попробуйте найти его через форму поиска.

Вас заинтересует