Ответы
Ответ дал:
0
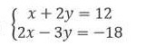
x+2y=12
x=-2y+12
2x-3x=-18
-3y+2(-2y+12)=-18
-7y+24=-18
-7y=-42
y=6
x=-2y+12
x=-12+12
x=0
Ответ: x=0, y=6
x=-2y+12
2x-3x=-18
-3y+2(-2y+12)=-18
-7y+24=-18
-7y=-42
y=6
x=-2y+12
x=-12+12
x=0
Ответ: x=0, y=6
Вас заинтересует
2 года назад
2 года назад
3 года назад
3 года назад
9 лет назад
9 лет назад
10 лет назад