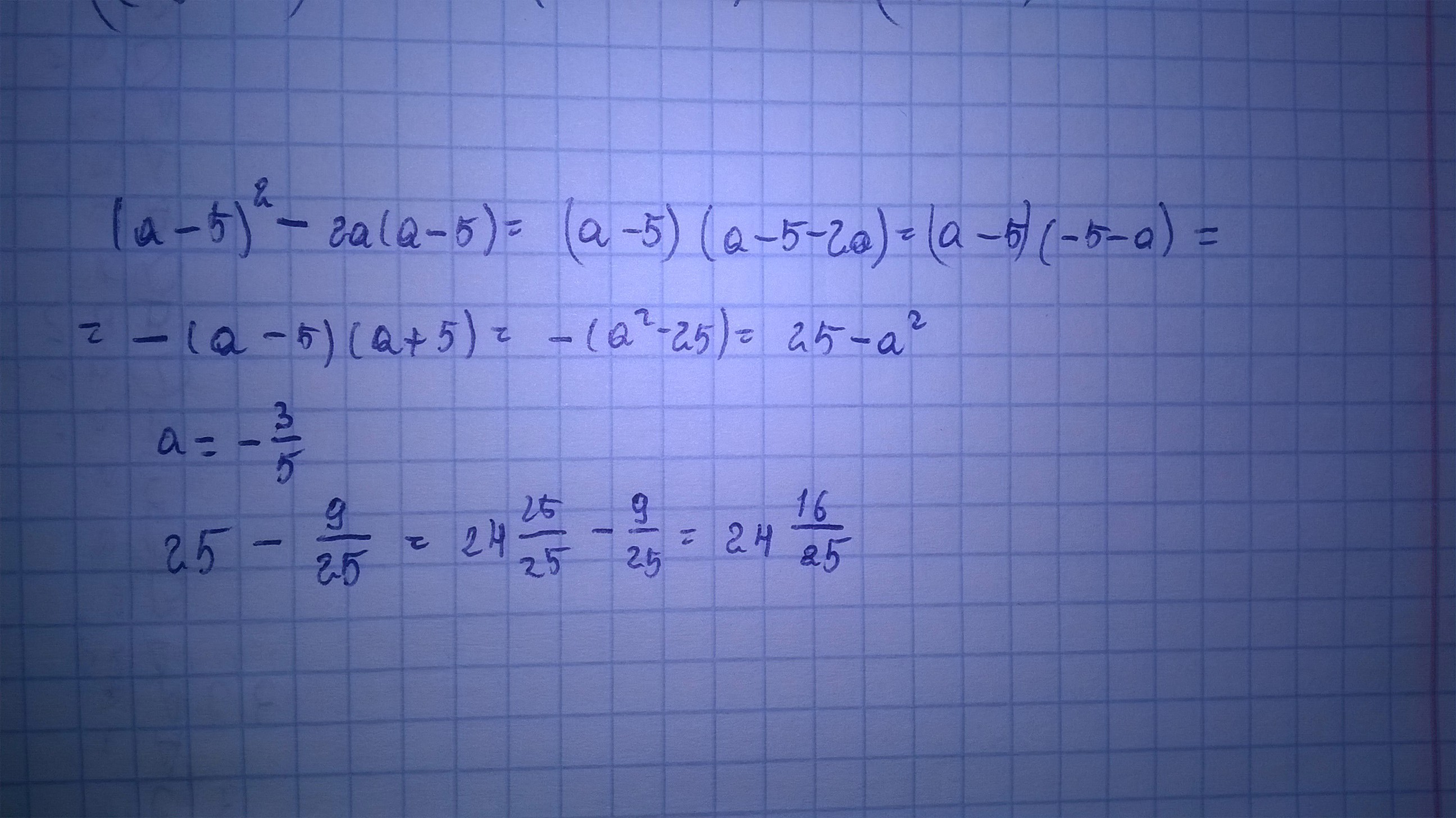
упростите выражение (а-5)^2-2а(а-5)
и найдите его значение при а=-3/5. В ответе запишите найденное значение.
помогите пожалуйста
Ответы
Ответ дал:
0
Отметьте ответ как лучший, пожалуйста
Приложения:

Ответ дал:
0
(a-5)^2-2(a-5)
a^2-10a+25-2a+10
a^2-12a+35
(-3,5)^2-12(-3,5)+35
12,25-42+35=5,25
a^2-10a+25-2a+10
a^2-12a+35
(-3,5)^2-12(-3,5)+35
12,25-42+35=5,25
Приложения:

Вас заинтересует
2 года назад
2 года назад
3 года назад
3 года назад
9 лет назад
9 лет назад
9 лет назад