• Предмет: Математика
  • Автор: 112017
  • Вопрос задан 8 лет назад

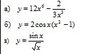
Найдите производные следующих функций:

Приложения:

Ответа на этот вопрос пока нет. Попробуйте найти его через форму поиска.

Вас заинтересует