• Предмет: Алгебра
  • Автор: Zluchka2000
  • Вопрос задан 8 лет назад

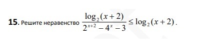
толи 13 толи 15-е задание, плиз, хз как решать...

Приложения:

Ответы

Ответ дал: ruzanavip
0
На самом деле простой пример)))
Приложения:
Ответ дал: ruzanavip
0
ОДЗ ПЕРЕПУТАЛА. ТАМ БУДЕТ х>-1
Ответ дал: Zluchka2000
0
огромное тебе спасибо, я хз вообще как эти задания делать, сколько мне уже не объясняли ...(
Вас заинтересует