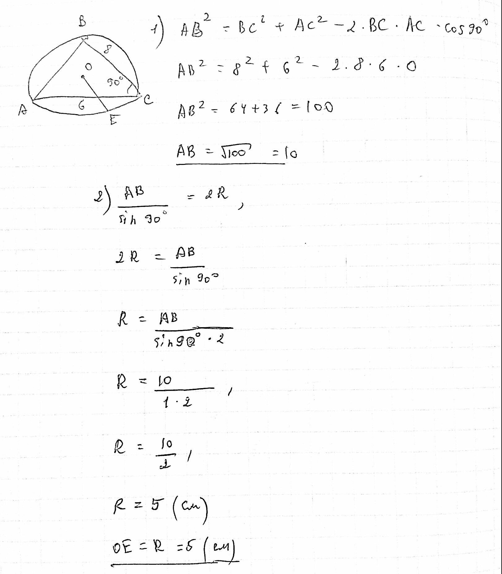
В треугольнике ABC известно,что AC=6,BC=8,угол C равен 90°.Найдите радиус описанной около этого треугольника окружности
Ответы
Ответ дал:
0
....................................................
Приложения:

Вас заинтересует
2 года назад
2 года назад
3 года назад
3 года назад
9 лет назад
9 лет назад
9 лет назад