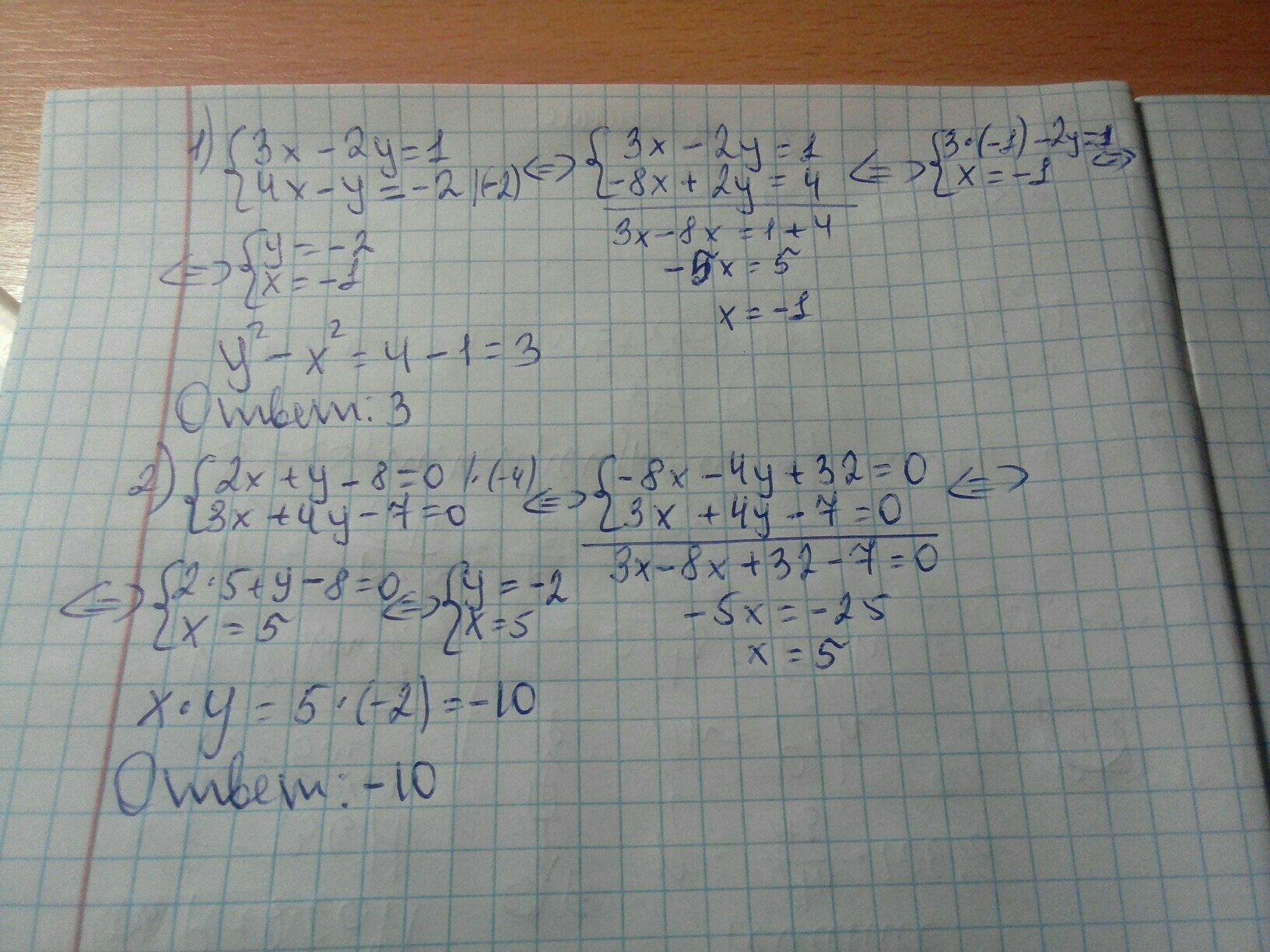
1). Найдите y^2 - x^2 из системы уравнений
{3х-2у=1
{4х-у=-2
2). Пара чисел (х,y) является решением системы
{2х+у-8=0
{3х+4у-7=0
Чему равно произведение х - у
Ответы
Ответ дал:
0
Решение на фотографии
Приложения:

Вас заинтересует
2 года назад
2 года назад
3 года назад
3 года назад
9 лет назад
9 лет назад