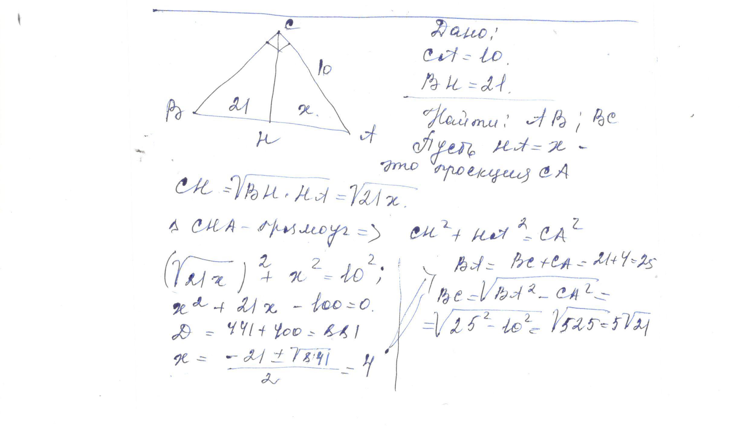
Катет Прямоугольного треугольника равно 10 см а проэкция другого катета 21 см . Найдите катет и гипотенузу
Помогите пожалуйста очень срочно . С объяснением. Отдам все балы только честно !!!!!
Ответы
Ответ дал:
0
Решение в приложении
Приложения:

Ответ дал:
0
Спасибо большое .Я также решила . Сейчас уверена что правильно
Вас заинтересует
2 года назад
3 года назад
3 года назад
9 лет назад