• Предмет: Алгебра
  • Автор: Dectreza
  • Вопрос задан 8 лет назад

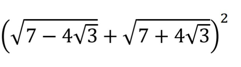
Найдите значение выражения

Приложения:

Ответы

Ответ дал: Vilka3000
0

Я надеюсь, что все верно...

Решение: ([tex] sqrt{7-4sqrt{3}}^{2} + sqrt{7 +4sqrt{3}}^{2} = 7 + 7 = 14 [tex])

Вас заинтересует