• Предмет: Алгебра
  • Автор: Nastya09812
  • Вопрос задан 8 лет назад

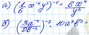
Помогите с примером (б)

Приложения:

Ответа на этот вопрос пока нет. Попробуйте найти его через форму поиска.

Вас заинтересует