• Предмет: Математика
  • Автор: Angelina1111111aa
  • Вопрос задан 8 лет назад

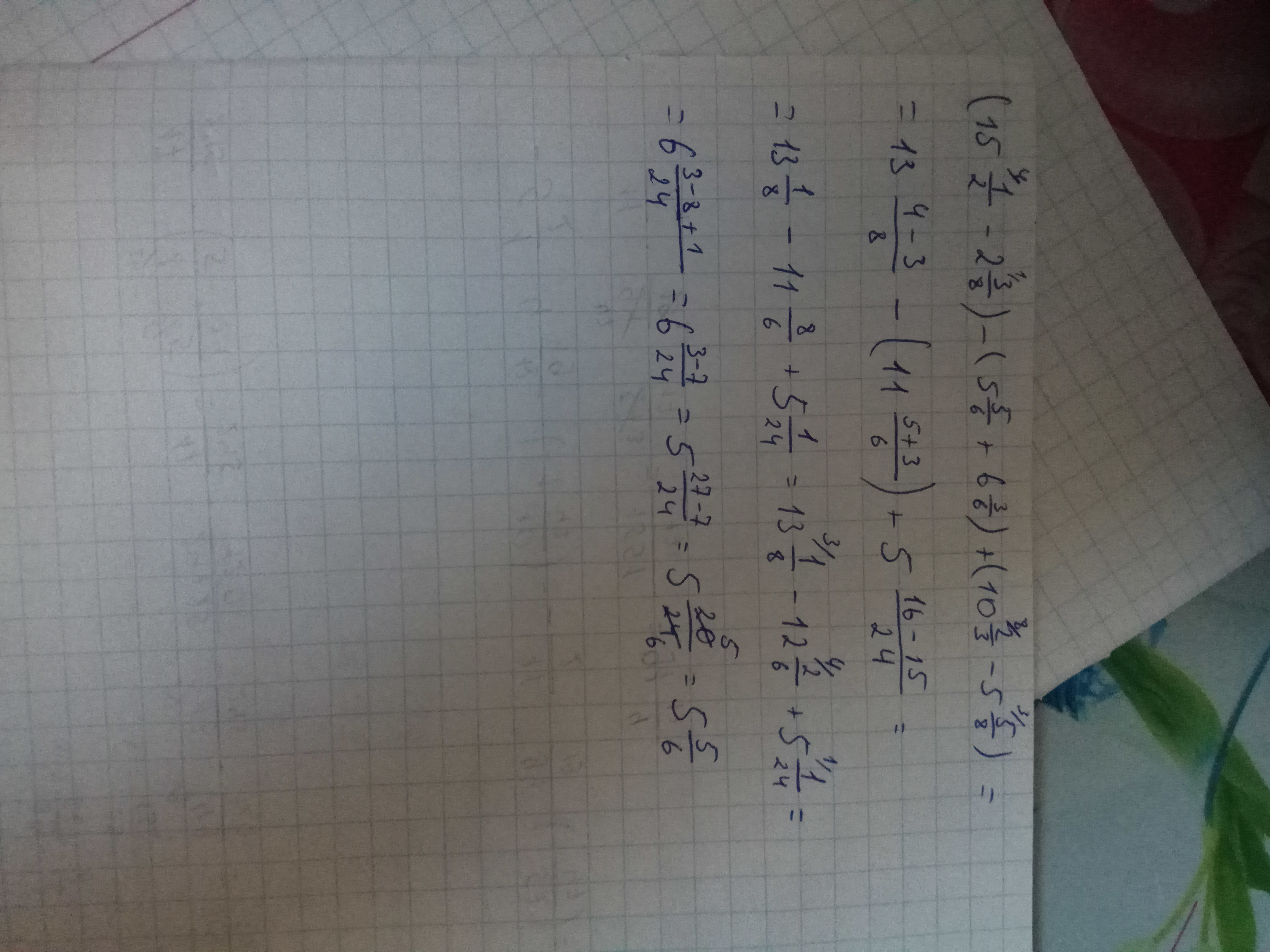
помогите плз: (15 1/2 - 2 3/8) - ( 5 5/6 + 6 3/6) + (10 2/3 - 5 5/8)

Ответы

Ответ дал: lizagrmk2003
0
Вот решение уравнения
Приложения:
Ответ дал: Angelina1111111aa
0
Спасибо!!!))
Вас заинтересует