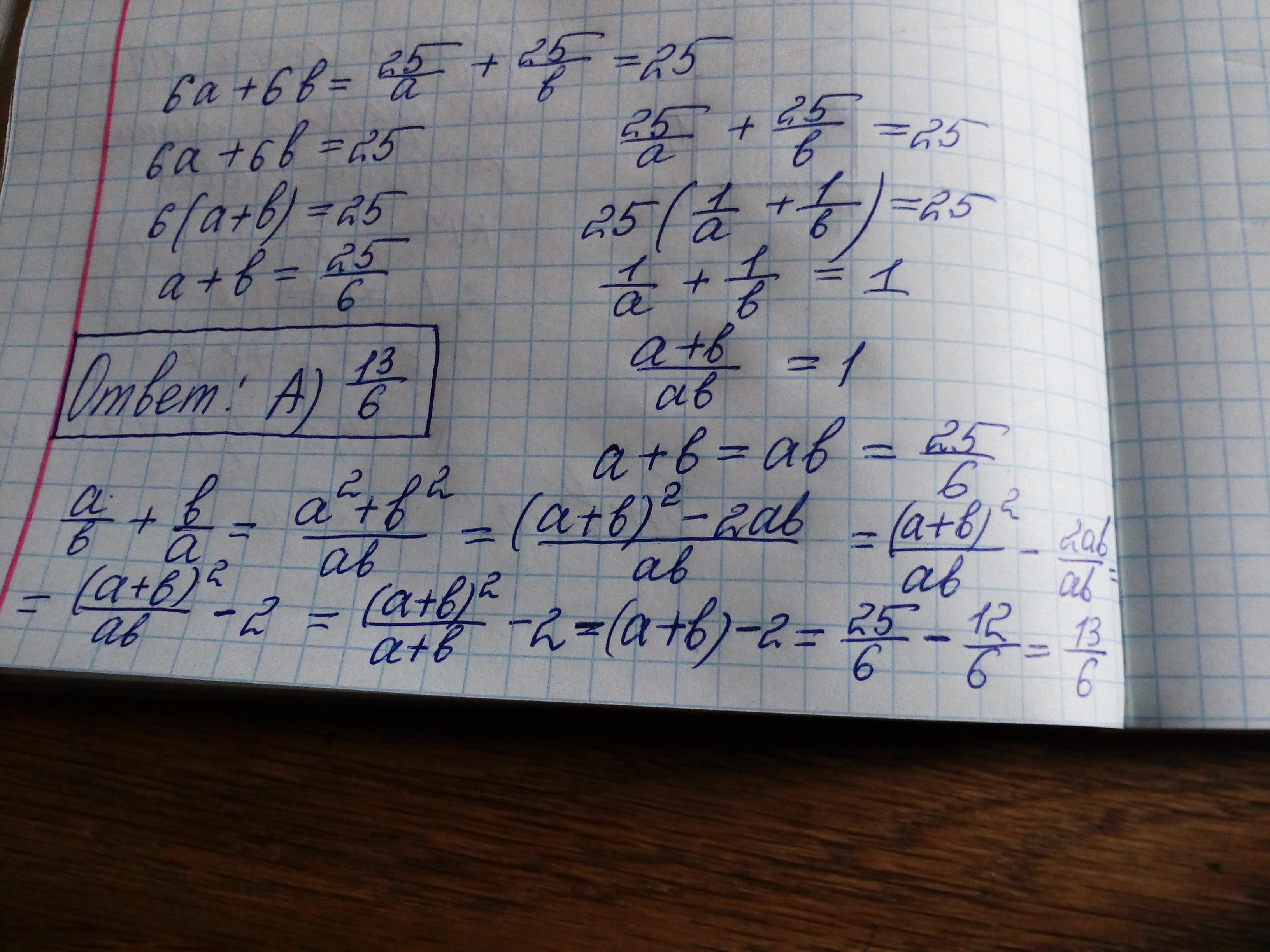
Ненулевые числа а,b удовлетворяют условиям: 6a+6b=25/a+25/b=25. Чем может равняться значение выражения: a/b+b/a?
А. 13/6;
Б. 13/7;
В. 11/6;
Г. 1/6.
Ответы
Ответ дал:
0
!!!!!!!!!!!!!!!!!!!!!!!
Приложения:

Вас заинтересует
2 года назад
2 года назад
3 года назад
3 года назад
9 лет назад
9 лет назад
9 лет назад