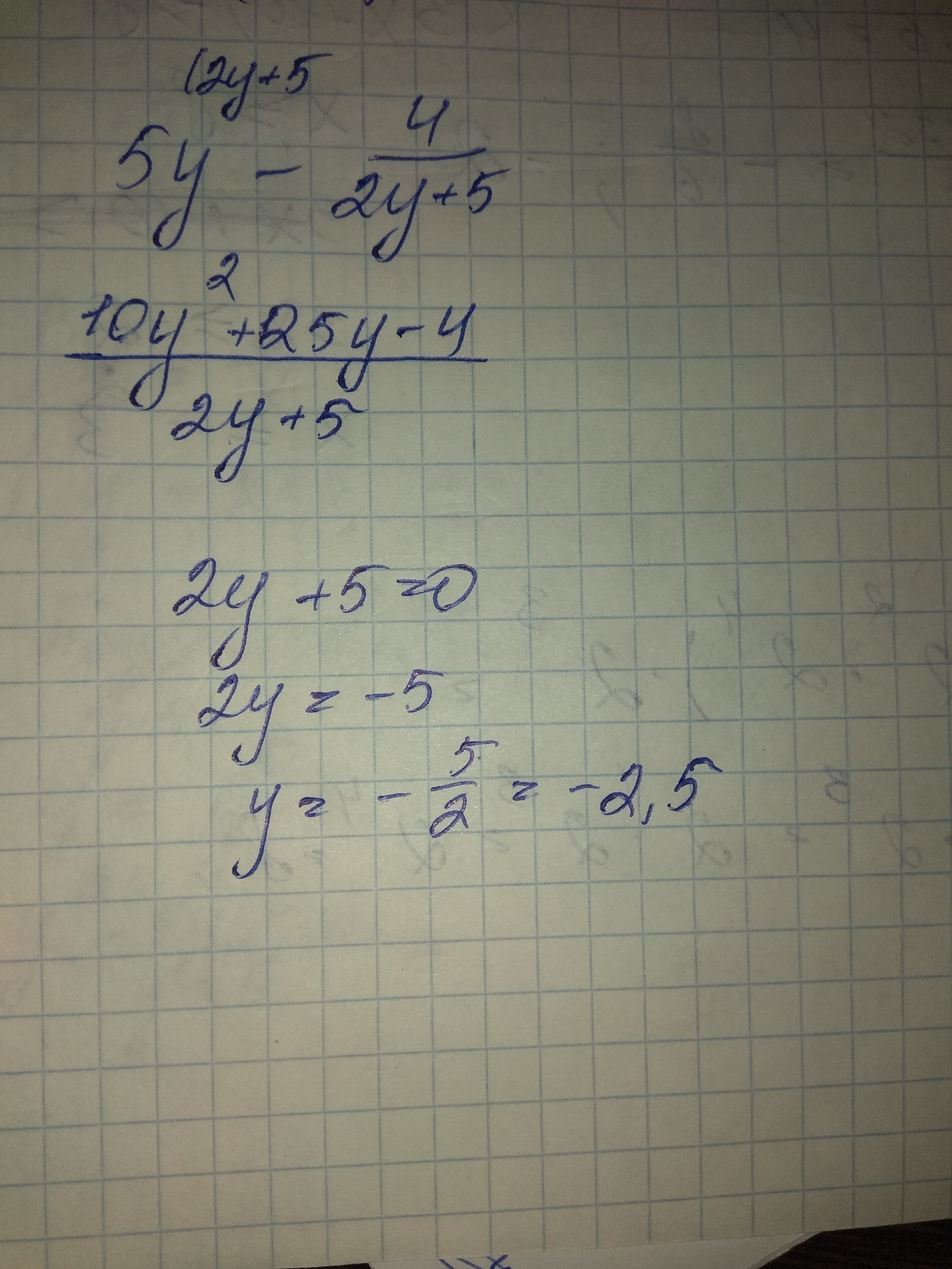
При каком переменной выражение не имеет смысла:
А) 4
В) 5
С) -2,5
D) 0
Решите с объяснением пожалуйста!!!! Дам 10 баллов
Приложения:

Ответы
Ответ дал:
0
ответ с) -2.5
Дробь не имеет выражение когда в знаменателе 0
Дробь не имеет выражение когда в знаменателе 0
Приложения:

Вас заинтересует
2 года назад
3 года назад
3 года назад
9 лет назад
9 лет назад
9 лет назад