• Предмет: Алгебра
  • Автор: orangejuice2
  • Вопрос задан 8 лет назад

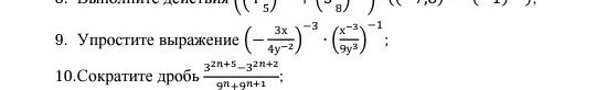
25 баллов!!! задание 9

Приложения:

Ответа на этот вопрос пока нет. Попробуйте найти его через форму поиска.

Вас заинтересует