• Предмет: Алгебра
  • Автор: Аноним
  • Вопрос задан 8 лет назад

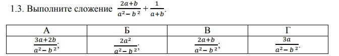
Выполните сложение 2a+b/a^2-b^2+1/a+b
Очень нужно, срочно! Буду благодарен!
На рисунке ответы! Нужно выбрать один!

Приложения:

Ответа на этот вопрос пока нет. Попробуйте найти его через форму поиска.

Вас заинтересует