Ответы
Ответ дал:
0
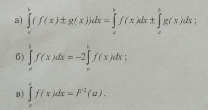
а - это свойство определенного интеграла(верно)
б - при смене пределов интегрирования("переворачивании") просто меняется знак, никакой "2" не должно быть(неверно)
в - такой интеграл равен нулю(неверно)
б - при смене пределов интегрирования("переворачивании") просто меняется знак, никакой "2" не должно быть(неверно)
в - такой интеграл равен нулю(неверно)
Вас заинтересует
2 года назад
2 года назад
9 лет назад
10 лет назад