Ответы
Ответ дал:
0
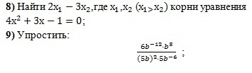
8) 4x²+3x-1=0
D=b²-4ac=3²-4·4·(-1)=9+16=25
√D=5
x₁=(-b+√D)/2a=(-3+5)/2·4=2/8=1/4=0.25
x₂=(-b-√D)/2a=(-3-5)/2·4=-8/8=-1
Найдем 2x₁-3x₂=2·(0.25)-3·(-1)=0.5+3=3.5
9) (6b⁻¹²)·b⁸/(5b)²·5b⁻⁶= (6b⁻¹²)·b⁸/(5b)²·5b⁻⁶=6b⁸b⁶/b¹²b²25·5=6b¹⁴/125b¹⁴
сокращаем=6/125=0.048 Как-то так. Проверьте, пожалуйста!
D=b²-4ac=3²-4·4·(-1)=9+16=25
√D=5
x₁=(-b+√D)/2a=(-3+5)/2·4=2/8=1/4=0.25
x₂=(-b-√D)/2a=(-3-5)/2·4=-8/8=-1
Найдем 2x₁-3x₂=2·(0.25)-3·(-1)=0.5+3=3.5
9) (6b⁻¹²)·b⁸/(5b)²·5b⁻⁶= (6b⁻¹²)·b⁸/(5b)²·5b⁻⁶=6b⁸b⁶/b¹²b²25·5=6b¹⁴/125b¹⁴
сокращаем=6/125=0.048 Как-то так. Проверьте, пожалуйста!
Вас заинтересует
2 года назад
2 года назад
3 года назад
3 года назад
9 лет назад
10 лет назад
10 лет назад