• Предмет: Алгебра
  • Автор: Xmoder
  • Вопрос задан 8 лет назад

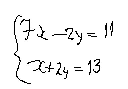
Решите систему уравнений:

Приложения:

Ответа на этот вопрос пока нет. Попробуйте найти его через форму поиска.

Вас заинтересует