• Предмет: Алгебра
  • Автор: киця24
  • Вопрос задан 8 лет назад

поможіть будь ласкабудь ласка

Приложения:

Ответы

Ответ дал: akhunovaaliyap6akzm
0
Решение уравнения на фото.
Приложения:
Ответ дал: Gjmargo
0

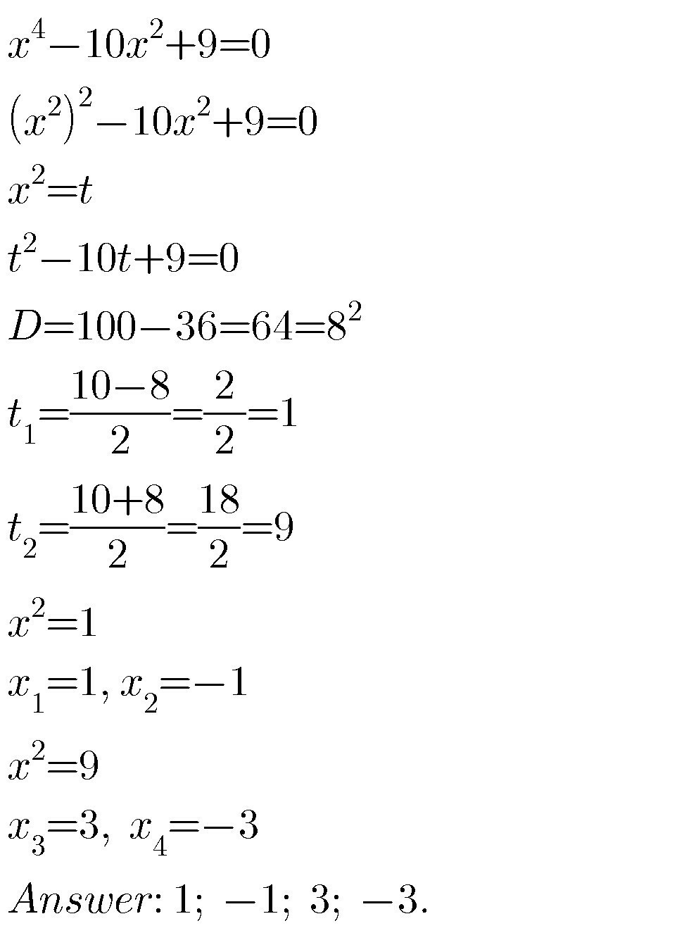
 {x}^{4}  - 10 {x}^{2}  + 9 = 0
Пусть х²=t
t²-10t+9=0
D=100-36=64=8²
t1 =  frac{10 - 8}{2}  = 1 \ t2 =  frac{10 + 8}{2}  = 9
Вернемся к х
[х²=1[х=-1;1
[х²=9[х=-3; 3
Ответ:-3;-1;1;3
Приложения:
Вас заинтересует