Помогите умницы! Обьясните какие теоромы здесь использовали? Почему в втором шаге получилась 1?
Приложения:

Ответы
Ответ дал:
0
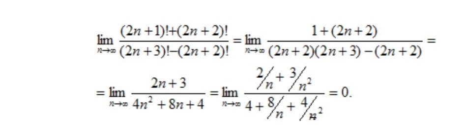
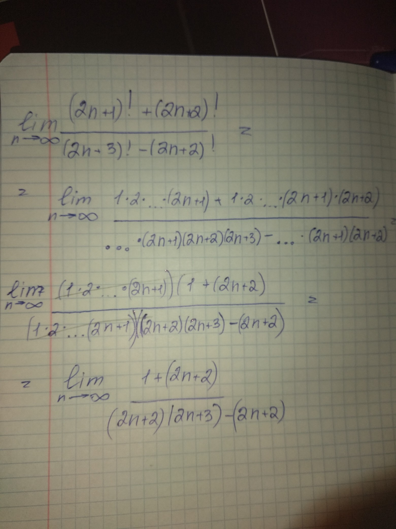
Это просто разложили факториалы. Ты должен понимать что факториал (2n+1)! это 1*2*3*...*2n*(2n+1) (заметь без ! в конце). факториал (2n+2)! это тоже самое, что и (2n+1)! только домноженное на (2n+2). То есть
1*2*3*...*2n*(2n+1)*(2n+2). Аналогично с факториалом (2n+3)! в знаменателе , то есть ещё домноженное на (2n+3). В итоге сверху и снизу выносишь за скобку подобные слагаемые и сокращаешь их.
1*2*3*...*2n*(2n+1)*(2n+2). Аналогично с факториалом (2n+3)! в знаменателе , то есть ещё домноженное на (2n+3). В итоге сверху и снизу выносишь за скобку подобные слагаемые и сокращаешь их.
Приложения:

Ответ дал:
0
то что там делят на n, это сложно как-то)) ну лично для меня , я это не понимал никогда, я просто смотрел где высшая степень и какие при ней коэффициенты и потом делил это все и все))
Ответ дал:
0
предел постоянной (константы) равен этой константе. в вашем случае предел нуля равен нулю
Ответ дал:
0
я поняла, спасибо вам что так подробно
Ответ дал:
0
это вы в каком классе это проходите?
Ответ дал:
0
я этого изучала в 11ом или 12ом классе, сейчас только забывала и повторяла всё таки ))
Вас заинтересует
2 года назад
2 года назад
3 года назад
3 года назад
9 лет назад
9 лет назад