Ответы
                                            Ответ дал: 
                                                                                    
                                        
                                            
                                                
                                                
                                                
                                                    0
                                                
                                            
                                        
                                    
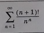
                                        Используем признак Д'Аламбера. n+1-й член имеет вид a[n+1]=(n+2)!/(n+1)^(n+1), так что a[n+1]/a[n]=(n+2)/(n+1)*(n/(n+1)^n.Теперь найдём lim a[n+1]/a[n]=lim(n+2)/(n+1)*lim(n/(n+1))^n. 
1) Вычислим первый предел lim(n+2)/(n+1)=lim(n*(1+2/n))/(n*(1+1/n))=lim(1+2/n)/(1+1/n)=1/1=1.
2) Вычислим второй предел lim(n/(n+1))^n=1/lim((n+1)/n)^n=1/lim(1+1/n)^n. Но предел в знаменателе есть ни что иное, как второй замечательный предел, а тогда lim(n/(n+1))^n=1/e
Отсюда lim a[n+1]/a[n]=1*1/e=1/e<1, а тогда по признаку Даламбера данный ряд сходится.
Ответ: ряд сходится.
                                    
                                        
                                        
                                1) Вычислим первый предел lim(n+2)/(n+1)=lim(n*(1+2/n))/(n*(1+1/n))=lim(1+2/n)/(1+1/n)=1/1=1.
2) Вычислим второй предел lim(n/(n+1))^n=1/lim((n+1)/n)^n=1/lim(1+1/n)^n. Но предел в знаменателе есть ни что иное, как второй замечательный предел, а тогда lim(n/(n+1))^n=1/e
Отсюда lim a[n+1]/a[n]=1*1/e=1/e<1, а тогда по признаку Даламбера данный ряд сходится.
Ответ: ряд сходится.
Вас заинтересует
                
                        2 года назад
                    
                
                        2 года назад
                    
                
                        3 года назад
                    
                
                        3 года назад
                    
                
                        9 лет назад
                    
                
                        10 лет назад