• Предмет: Математика
  • Автор: Livonta
  • Вопрос задан 8 лет назад

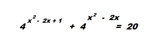
Как решается? Подробно.

Приложения:

Ответы

Ответ дал: annahappy13
0
фоточка тебе в помощь :D
Приложения:
Ответ дал: Livonta
0
А как из первого слагаемого получилось (4+1) ?
Ответ дал: annahappy13
0
вынесли общий множитель для упрощения вычисления.
Ответ дал: Livonta
0
Всё, поняла, спасибо.
Вас заинтересует