Ответы
Ответ дал:
0
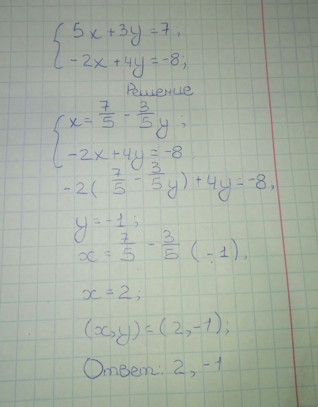
5x+3y=7/*2⇒10x+6y=14
-2x+4y=-8/*5⇒-10x+20y=-40
прибавим
26y=-26
y=-1
5x-3=7
5x=10
x=2
(2;-1)
-2x+4y=-8/*5⇒-10x+20y=-40
прибавим
26y=-26
y=-1
5x-3=7
5x=10
x=2
(2;-1)
Ответ дал:
0
..............................
Приложения:

Вас заинтересует
2 года назад
3 года назад
9 лет назад