• Предмет: Математика
  • Автор: LUDOED16
  • Вопрос задан 8 лет назад

9 вопрос. Как это решать?

Приложения:

Ответы

Ответ дал: akhunovaaliyap6akzm
0
Ответ: у/6..............
Приложения:
Ответ дал: ОльгаАлексеевна1979
0
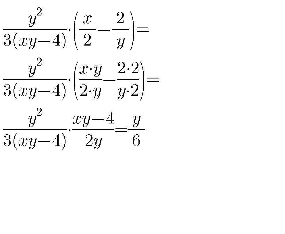
Сначала в скобке складываем. Приводим к общему знаменателю.
х            2           ху-  4
__   -   ___  =  ____________
  2            у             2у
потом умножаем. сокращаются  скобки и у.
   у²                (ху-4)                        у
_______ * _________     =   ________
3(ху-4)             2у                           6
Приложения:
Ответ дал: LUDOED16
0
Как в скобке получилось ху - 4 / 2у?
Ответ дал: akhunovaaliyap6akzm
0
я привела к общему знаменателю!
Ответ дал: LUDOED16
0
Понятно
Ответ дал: LUDOED16
0
Спасибо
Вас заинтересует