Ответы
Ответ дал:
0
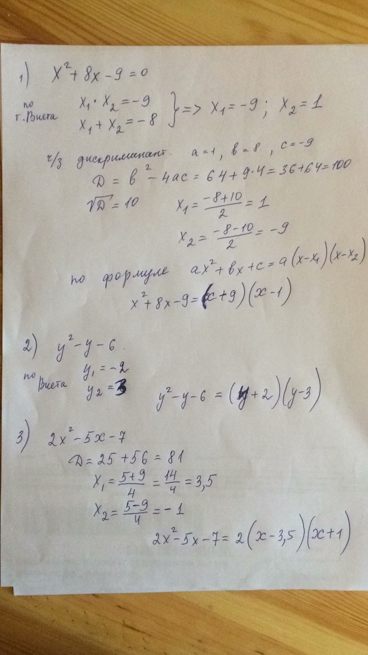
1) по теореме Виета или через дискриминант находим корни х1= - 9, х2=1, по фрмуле а(х-х1)(х-х2) раскладываем кв. трехчлен = (х+9)(х-1)
и т. д решение на фото. Остальные по этой же формуле
и т. д решение на фото. Остальные по этой же формуле
Приложения:


Вас заинтересует
2 года назад
2 года назад
3 года назад
3 года назад
9 лет назад
9 лет назад
9 лет назад