Ответы
Ответ дал:
0
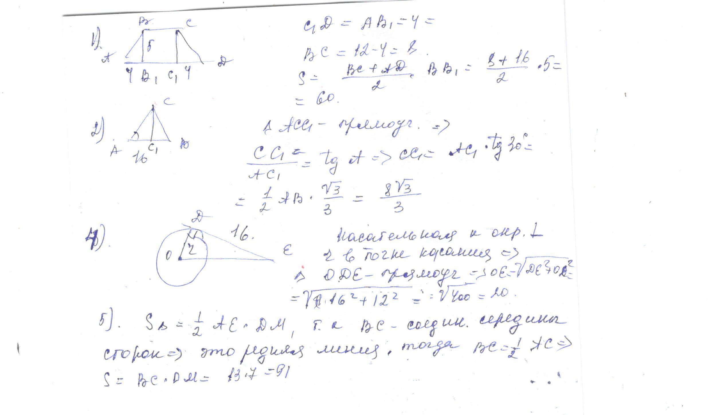
Решение в приложении.
Приложения:


Ответ дал:
0
спасибо большое за решение)
Вас заинтересует
2 года назад
3 года назад
9 лет назад
9 лет назад