• Предмет: Алгебра
  • Автор: kastielJernot
  • Вопрос задан 11 лет назад

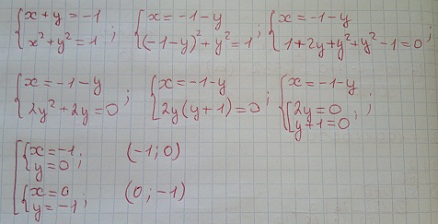
решите систему уравнений

x+y= - 1
х²+y²=1

Ответы

Ответ дал: ФИЗМАТик
0
Решение на фото, удачи :)
Приложения:
Вас заинтересует