• Предмет: Алгебра
  • Автор: Арай000
  • Вопрос задан 8 лет назад

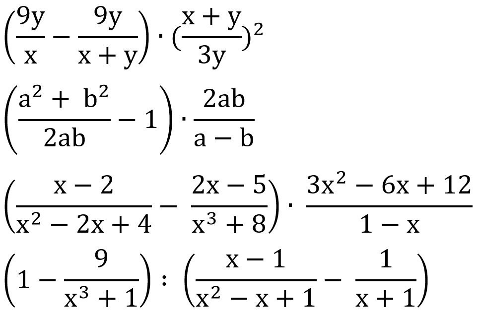
решите 3 и 4 пример. плееееез. срочняк

Приложения:

Ответы

Ответ дал: akhunovaaliyap6akzm
0
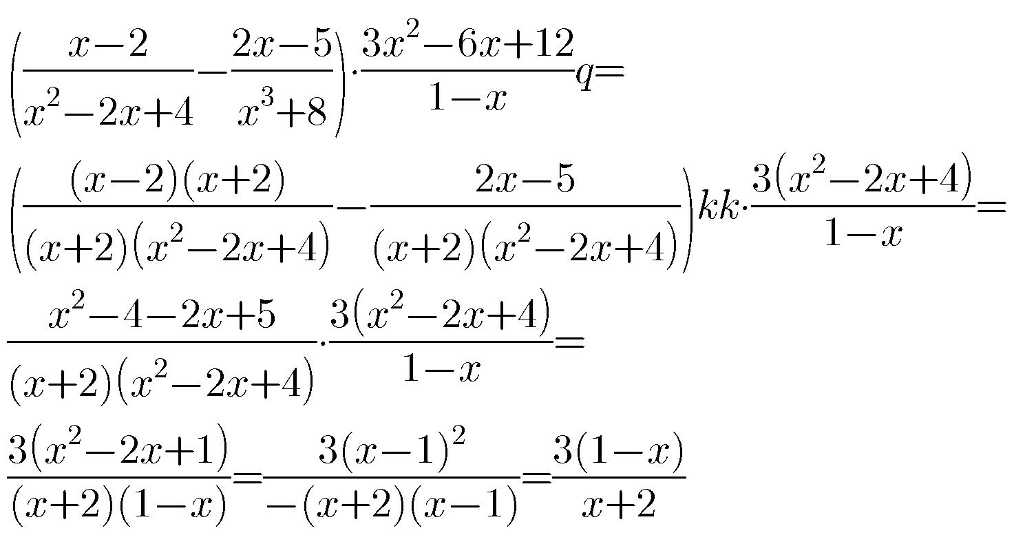
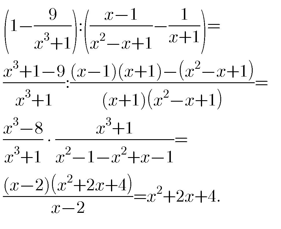
Упрощения выражений показаны во вложении.
Приложения:
Вас заинтересует