• Предмет: Математика
  • Автор: maksimvlasov01
  • Вопрос задан 8 лет назад

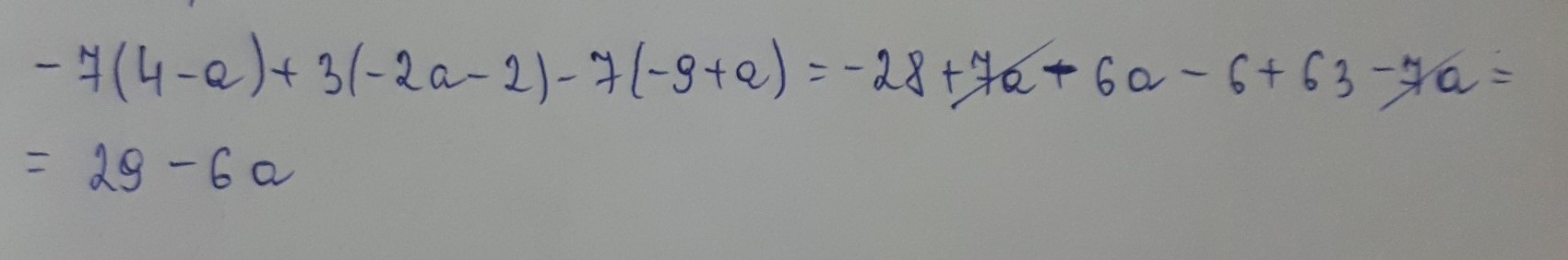
Раскрой скобки и упрости выражение: −7(4−a)+3(−2a−2)−7(−9+a)

Ответы

Ответ дал: jjjvrf
0
.....ххххххххххххх00000
Приложения:
Вас заинтересует