• Предмет: Алгебра
  • Автор: ughschool
  • Вопрос задан 8 лет назад

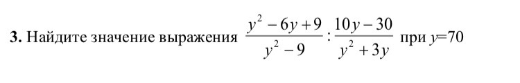
Найдите значение выражения при y=70 (на фотке)

Приложения:

Ответы

Ответ дал: alesyaperova
0

 frac{(y -  {3)}^{2} }{(y - 3)(y + 3)}  times  frac{y(y + 3)}{10(y - 3)}  =  frac{y(y - 3)}{10(y - 3) }  =
 =  frac{y}{10 }  =  frac{70}{10}  = 7
Ответ 7
Вас заинтересует