Ответы
Ответ дал:
0
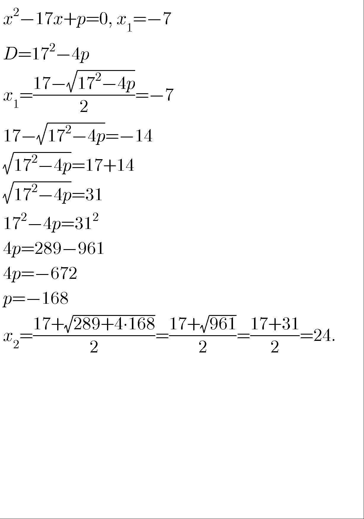
Второй корень уравнения равен 24.
Приложения:

Ответ дал:
0
Спасибо.
Вас заинтересует
2 года назад
2 года назад
3 года назад
9 лет назад
9 лет назад
9 лет назад
9 лет назад