Ответы
Ответ дал:
0
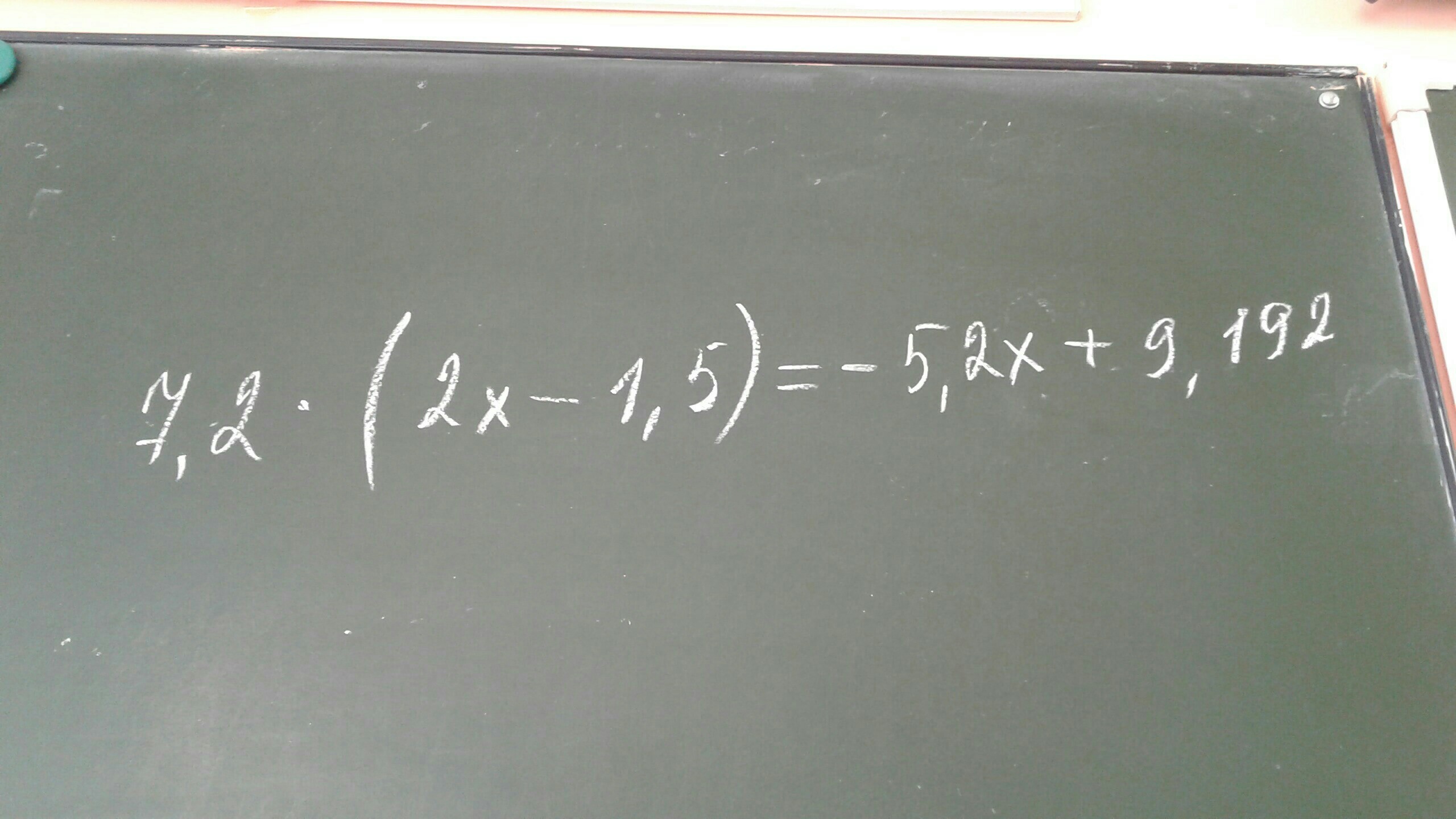
7,2(2х-1,5)=-5,2х+9,192
14,4х-10,8+5,2х=9,192
19,6х=9,192+10,8
19,6х=19,992
х=19,992:19,6
х=1,02
Ответ:1,02
14,4х-10,8+5,2х=9,192
19,6х=9,192+10,8
19,6х=19,992
х=19,992:19,6
х=1,02
Ответ:1,02
Вас заинтересует
2 года назад
3 года назад
9 лет назад
9 лет назад
10 лет назад