• Предмет: Химия
  • Автор: ZOYAua
  • Вопрос задан 8 лет назад

Пли-и-из! Помогите с химией! Кто хорошо знает химию? Завтра сдавать контрольные!!! Тесты могу сама, а вот задачи о-очень прошу с решением и на украинском (можно и на русском, только решите!) Если что, пишите в личку. Потом вышлю ещё, а пока решите это, умоляю!
Это легко и интересно, но времени действительно нет:(

Приложения:

Ответы

Ответ дал: danilezovozbadm
0
если переведешь задачу на русский ее попробую решить 

Приложения:
Ответ дал: ZOYAua
0
Сейчас
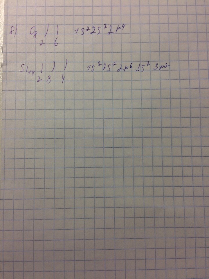
Ответ дал: Chemistry0forever
0
Вроде так))))))))))))))
Приложения:
Ответ дал: ZOYAua
0
ой, прости! По ошибке не то отметила:( Твой ответ самый лучший! Спасибо!
Ответ дал: ZOYAua
0
А следующую контр. работу решишь? Я выставила в своём профиле! Твоя будет лучшая!
Ответ дал: ZOYAua
0
Там написано "КР №2"
Вас заинтересует