• Предмет: Алгебра
  • Автор: vertoleter
  • Вопрос задан 8 лет назад

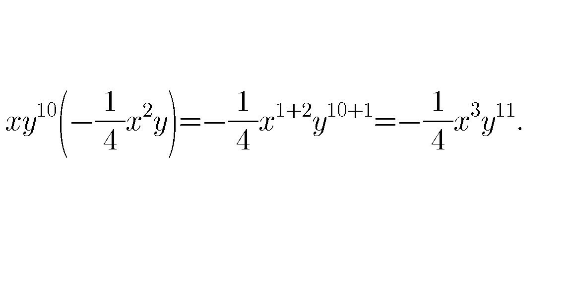
выполните действие xy^10(-1/4x^2y)

Ответы

Ответ дал: akhunovaaliyap6akzm
0
.......................
Приложения:
Вас заинтересует