• Предмет: Алгебра
  • Автор: EvgeniyFun
  • Вопрос задан 8 лет назад

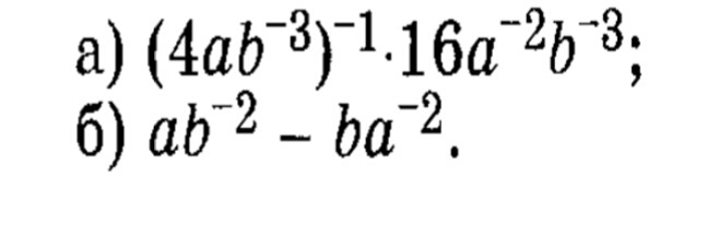
Преобразуйте в дробь выражения:

Приложения:

Ответы

Ответ дал: LANAOVICH
0
а) (4ab⁻³)⁻¹·16a⁻²b⁻³=(4a⁻¹b⁻³ˣ⁽⁻¹⁾)·16a⁻²b⁻³=(4b³·16)/(a¹⁺²b³)=сокращаем=
=64/a³

б) ab⁻²-ba⁻²=(a/b²)-(b/a²)=(a³-b³)/a²b²

Вас заинтересует