• Предмет: Алгебра
  • Автор: DobriyYchitel
  • Вопрос задан 8 лет назад

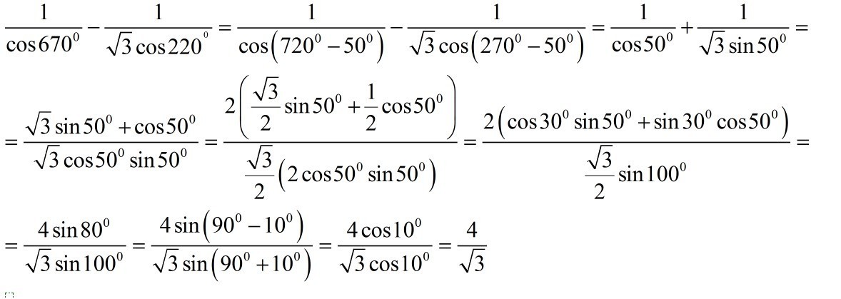
Результат вычисления 1/cos(670°) — 1/(√(3)*cos(220°)) равен .
P.S. 180 + 50 = 230(а не 220:не знаю почему, там, где искал cos220° преобразовывали в -cos50°);
P.P.S Это две дроби(если кому не очевидно)

Ответы

Ответ дал: justcall
0
решение во вложении.

Приложения:
Ответ дал: DobriyYchitel
0
Спасибо огромное
Ответ дал: justcall
0
Обращайтесь)
Вас заинтересует