Ответы
Ответ дал:
0
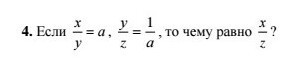
x/y * y/z = a * 1/a
xy/yz = a/a
x/z = 1
'y' сокращаются, а любое число, деленное на себя, равно 1.
Ответ: 1
xy/yz = a/a
x/z = 1
'y' сокращаются, а любое число, деленное на себя, равно 1.
Ответ: 1
Вас заинтересует
2 года назад
3 года назад
3 года назад
9 лет назад
9 лет назад
10 лет назад
10 лет назад