• Предмет: Алгебра
  • Автор: ekaterina491
  • Вопрос задан 8 лет назад

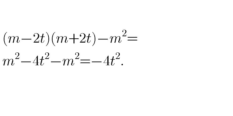
(m - 2t)(m + 2t) - m^
упрастить

Ответы

Ответ дал: akhunovaaliyap6akzm
0
Упрощение показано выше.
Приложения:
Вас заинтересует