Ответы
Ответ дал:
0
1).
x-6y=20
4x+2y=2
x= 20+6y
4x+2y=2
4(20+6y)+2y=2
80+24y+2y=2
26y=-78
y= -3
x=2
Ответ: (2;-3).
2).
4*х+2*(25-х)=70
4х+50-2х=70
2х=70-50
2х=20
х=20:2
х=10 Человек в домиках
25-10=15 Человек в палатках.
3).
2(3x-y)-5=2x-3y
5-(x-2y)=4y+16
2(3x-y)-5=2x-3y
4x+y-5=0
y=-4x+5
5-(x-2y)=4y+16
-11-x-2y=0
-11-x-2*(-4x+5)=0
-21+7x=0
x=21/7
x=3
4x+y-5=0
4*3+y-5=0
7+y=0
y=-7.
4).
5k+b=0
-2k+b=21
Из первого уравнения вычтем второе 5k+b+2k-b=-21
7k=-21
k=-3
Тогда b=-5k;b=15
y=-3x+15.
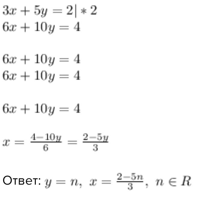
Задание 5 в изображении.
x-6y=20
4x+2y=2
x= 20+6y
4x+2y=2
4(20+6y)+2y=2
80+24y+2y=2
26y=-78
y= -3
x=2
Ответ: (2;-3).
2).
4*х+2*(25-х)=70
4х+50-2х=70
2х=70-50
2х=20
х=20:2
х=10 Человек в домиках
25-10=15 Человек в палатках.
3).
2(3x-y)-5=2x-3y
5-(x-2y)=4y+16
2(3x-y)-5=2x-3y
4x+y-5=0
y=-4x+5
5-(x-2y)=4y+16
-11-x-2y=0
-11-x-2*(-4x+5)=0
-21+7x=0
x=21/7
x=3
4x+y-5=0
4*3+y-5=0
7+y=0
y=-7.
4).
5k+b=0
-2k+b=21
Из первого уравнения вычтем второе 5k+b+2k-b=-21
7k=-21
k=-3
Тогда b=-5k;b=15
y=-3x+15.
Задание 5 в изображении.
Приложения:
Вас заинтересует
2 года назад
2 года назад
3 года назад
3 года назад
9 лет назад
9 лет назад
10 лет назад