• Предмет: Алгебра
  • Автор: tkachyk442p8lpkm
  • Вопрос задан 8 лет назад

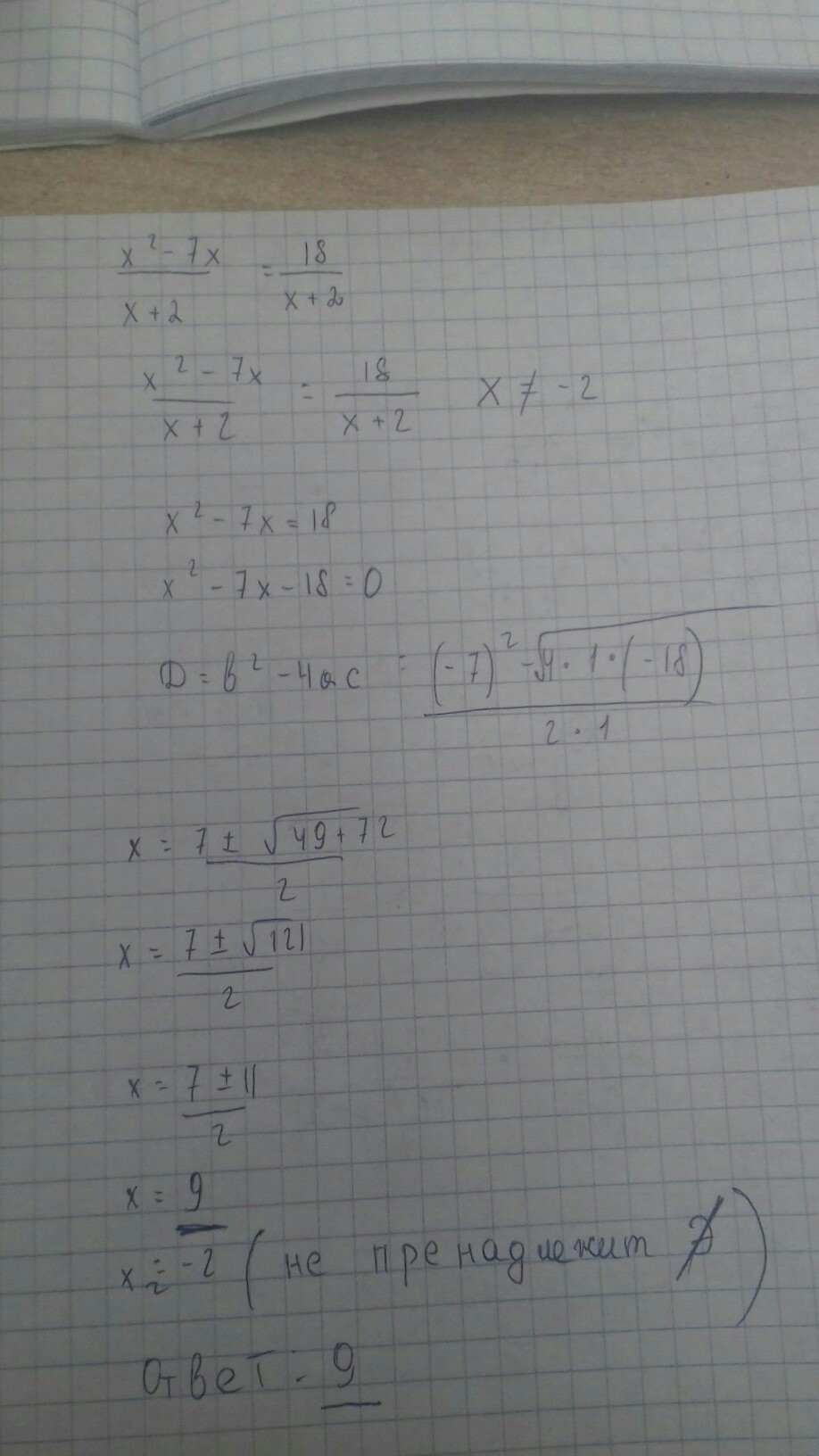
x^2-7x/x+2=18/x+2 решите уравнения

Ответы

Ответ дал: Olala11150
0
воть удачи ) всё надеюсь понятно
Приложения:
Вас заинтересует