• Предмет: Алгебра
  • Автор: VikaViktoria04
  • Вопрос задан 8 лет назад

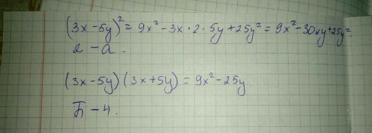
Для каждого выражения из первого столбца, обозначенного буквой, подберите тождественно равное ему выражение из второго столбца, обозначенное цифрой.

Приложения:

Ответы

Ответ дал: umnik691
0
вот тебе ответ с решением
Приложения:
Ответ дал: борсхьо
0
вот я тебе прислал фотку там посмотрешь
Приложения:
Вас заинтересует