• Предмет: Алгебра
  • Автор: VikaViktoria04
  • Вопрос задан 8 лет назад

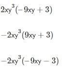
Разложите на множители многочлен −18x^2y^4+6xy^3.

Приложения:

Ответы

Ответ дал: Gjmargo
0

 - 18 {x}^{2}  {y}^{4}  + 6x {y}^{3}  =  - 6x {y}^{3} (2xy  -  1)
Вас заинтересует