• Предмет: Алгебра
  • Автор: utoj458
  • Вопрос задан 8 лет назад

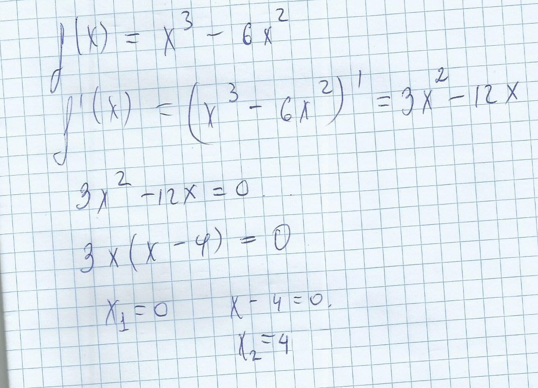
Найдите критические точки функции f(x) = x³ - 6x² . Большое спасибо))

Ответы

Ответ дал: Аноним
0
Решение во вложении. Успехов в алгебре!
Приложения:
Ответ дал: Аноним
0
Упс, там ошибочка
Ответ дал: utoj458
0
Огромное спасибо!
Вас заинтересует