Ответы
Ответ дал:
0
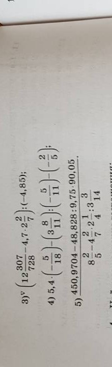
3) 


4)

5)
4)
5)
Вас заинтересует
2 года назад
2 года назад
3 года назад
3 года назад
9 лет назад
10 лет назад