Ответы
Ответ дал:
0
Если еще актуально решение задачи.
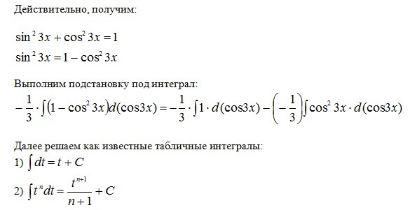
Здесь нужно расписать sin³3x=sin²3x·sin3x и внести под знак дифференциала последний множитель. Так как производная косинуса есть синус, то под знаком дифференциала будет косинус.
Затем воспользоваться тригонометрическим тождеством sin²α+cos²α=1 и перейти к одной и той же тригонометрической функции - косинус и под интегралом.
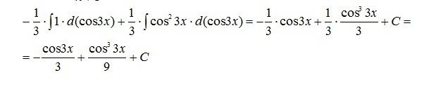
Подробное решение - на рисунках.
Здесь нужно расписать sin³3x=sin²3x·sin3x и внести под знак дифференциала последний множитель. Так как производная косинуса есть синус, то под знаком дифференциала будет косинус.
Затем воспользоваться тригонометрическим тождеством sin²α+cos²α=1 и перейти к одной и той же тригонометрической функции - косинус и под интегралом.
Подробное решение - на рисунках.
Приложения:
Ответ дал:
0
сложный пример и спасибо за решение!
Вас заинтересует
2 года назад
3 года назад
3 года назад
9 лет назад
9 лет назад
10 лет назад