• Предмет: Физика
  • Автор: CHEFC
  • Вопрос задан 8 лет назад

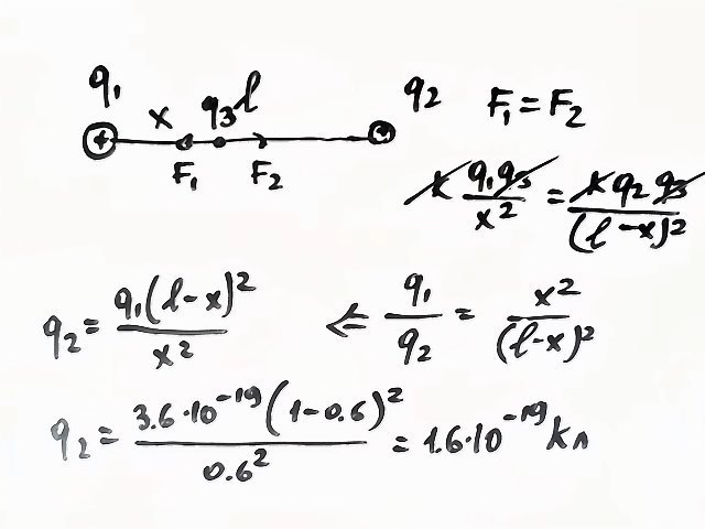
Можете помочь пожалуйста). Решается итоговая оценка

Приложения:

Ответы

Ответ дал: elimofetoyp1j9
0
Можете помочь пожалуйста). Решается итоговая оценка
Приложения:
Ответ дал: CHEFC
0
Спасибо большое!
Вас заинтересует