• Предмет: Математика
  • Автор: Papert
  • Вопрос задан 8 лет назад

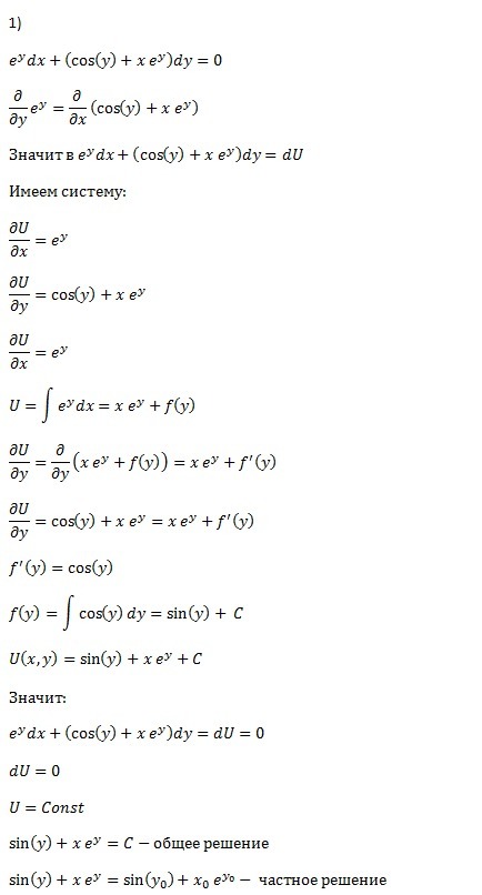
1)Частное решение ДУ в полных дифференциалах.

e^ydx+(cosy+xe^y)dy=0

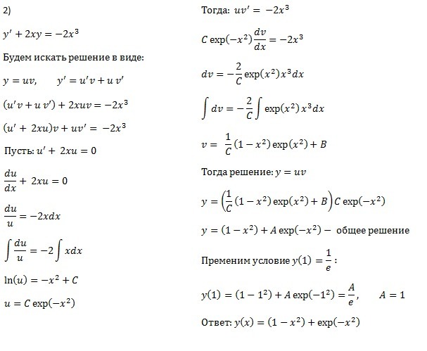
2)Частное решение линейного ДУ первого порядка

y'+2xy=-2x^3; y(0)=-1; y'(0)=-2

Заранее спасибо!

Ответы

Ответ дал: amax777
0
Вы не указали дополнительное условие для первой задачи, поэтому я просто взял условие y(x0) = y0. Решение на картинках, удачи :)
Приложения:
Ответ дал: amax777
0
а... я не так прочитал условия... ну значит последние две строчки нужно исправить :)
Вас заинтересует