• Предмет: Математика
  • Автор: Li7777777777777
  • Вопрос задан 8 лет назад

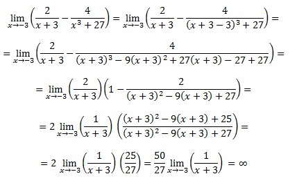
Помогите с решением предела

Приложения:

Ответы

Ответ дал: amax777
0
Вы проверьте на всякий случай)
Приложения:
Вас заинтересует