• Предмет: Алгебра
  • Автор: KristinaXoffmen
  • Вопрос задан 8 лет назад

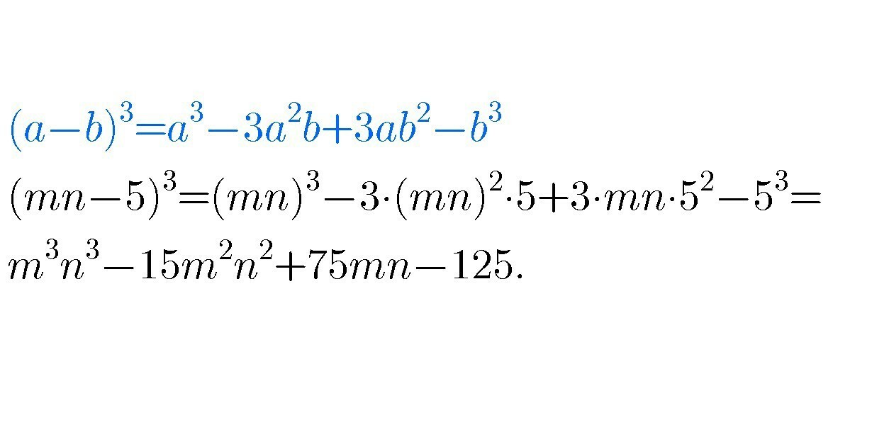
Запишите в виде Алгебраического выражения: куб разности mn и 5

Ответы

Ответ дал: akhunovaaliyap6akzm
0
Куб разности показан выше.
Приложения:
Вас заинтересует