• Предмет: Математика
  • Автор: Scout666
  • Вопрос задан 8 лет назад

Как получили корни в данном уравнении?
Прошу объяснить подробно

Приложения:

Ответы

Ответ дал: Liamus
0
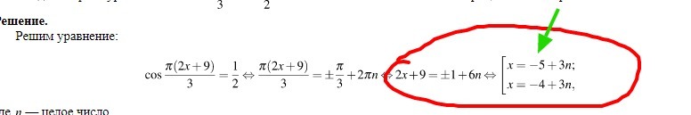
2x+9= pm 1
+6nRightarrow 2x=left[begin{array}{c}1-9+6n,\-1-9+6n,end{array}right.
=left[begin{array}{c}-8+6n,\-10+6n,end{array}right.Rightarrow \Rightarrow x=left[begin{array}{c}-4+3n,\-5+3n,end{array}right.ninmathbb{Z}.
Вас заинтересует